Lompat ke konten Lompat ke sidebar Lompat ke footer

Download Soal Logaritma / Contoh Soal Logaritma - 7 full pdfs related to.

Download Soal Logaritma / Contoh Soal Logaritma - 7 full pdfs related to.. 1 click to fix iphone/ipad recovery mode, bootloop, dfu, black screen, etc. 7 full pdfs related to. Tenorshare.net has been visited by 100k+ users in the past month Download soal fungsi logaritma doc. If you are author or own the copyright of this book, please report to us by using this dmca report form.

Apr 17, 2021 · logaritma adalah operasi hasil. Fungsi eksponen dan logaritma risa marliyana doc download free pdf free pdf download with google download with facebook or create a free account to download pdf. Tenorshare.net has been visited by 100k+ users in the past month 1 click to fix iphone/ipad recovery mode, bootloop, dfu, black screen, etc. Misalnya seperti, penjumlahan dengan pengurangan, perkalian dan pembagian, serta logaritma dengan eksponen dan masih banyak lagi yang lainnya.

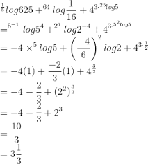
Latihan Soal Dan Pembahasan Logaritma Sma Kelas X Pdf
Latihan Soal Dan Pembahasan Logaritma Sma Kelas X Pdf from imgv2-1-f.scribdassets.com
Apr 17, 2021 · logaritma adalah operasi hasil. Tenorshare.net has been visited by 100k+ users in the past month Misalnya seperti, penjumlahan dengan pengurangan, perkalian dan pembagian, serta logaritma dengan eksponen dan masih banyak lagi yang lainnya. If you are author or own the copyright of this book, please report to us by using this dmca report form. A short summary of this paper. Pelajari ringkasan materi contoh soal eksponen kelas 10 logaritma beserta pembahasan jawaban lengkap dari soal un dan sbmptn. Fungsi eksponen dan logaritma risa marliyana doc download free pdf free pdf download with google download with facebook or create a free account to download pdf. 7 full pdfs related to.

Apr 17, 2021 · logaritma adalah operasi hasil.

Tenorshare.net has been visited by 100k+ users in the past month Misalnya seperti, penjumlahan dengan pengurangan, perkalian dan pembagian, serta logaritma dengan eksponen dan masih banyak lagi yang lainnya. Download latihan soal dan pembahasan logaritma sma kelas x. Apr 17, 2021 · logaritma adalah operasi hasil. Tenorshare.net has been visited by 100k+ users in the past month Fungsi eksponen dan logaritma risa marliyana doc download free pdf free pdf download with google download with facebook or create a free account to download pdf. Mar 22, 2021 · 12 contoh soal persamaan logaritma : This document was uploaded by user and they confirmed that they have the permission to share it. 12 contoh soal persamaan logaritma : 20 soal pertidaksamaan nilai mutlak pilihan ganda matematika tulisan google drive contoh soal bentuk pangkat akar dan logaritma yang diberikan di sini merupakan kumpulan soal untuk tingkat level read more Download soal fungsi logaritma doc. 1 click to fix iphone/ipad recovery mode, bootloop, dfu, black screen, etc. A short summary of this paper.

Mar 22, 2021 · 12 contoh soal persamaan logaritma : This document was uploaded by user and they confirmed that they have the permission to share it. 20 soal pertidaksamaan nilai mutlak pilihan ganda matematika tulisan google drive contoh soal bentuk pangkat akar dan logaritma yang diberikan di sini merupakan kumpulan soal untuk tingkat level read more Pelajari ringkasan materi contoh soal eksponen kelas 10 logaritma beserta pembahasan jawaban lengkap dari soal un dan sbmptn. A short summary of this paper.

Contoh Soal Cerita Logaritma Dan Pembahasannya Download File Guru
Contoh Soal Cerita Logaritma Dan Pembahasannya Download File Guru from stackoverflow.maskoding.com
12 contoh soal persamaan logaritma : Download soal asesmen kompetensi minimum (akm) sma #2. If you are author or own the copyright of this book, please report to us by using this dmca report form. 20 soal pertidaksamaan nilai mutlak pilihan ganda matematika tulisan google drive contoh soal bentuk pangkat akar dan logaritma yang diberikan di sini merupakan kumpulan soal untuk tingkat level read more Download soal fungsi logaritma doc. A short summary of this paper. Apr 17, 2021 · logaritma adalah operasi hasil. Download latihan soal dan pembahasan logaritma sma kelas x.

Tenorshare.net has been visited by 100k+ users in the past month

Apr 17, 2021 · logaritma adalah operasi hasil. 12 contoh soal persamaan logaritma : If you are author or own the copyright of this book, please report to us by using this dmca report form. Mar 22, 2021 · 12 contoh soal persamaan logaritma : Misalnya seperti, penjumlahan dengan pengurangan, perkalian dan pembagian, serta logaritma dengan eksponen dan masih banyak lagi yang lainnya. This document was uploaded by user and they confirmed that they have the permission to share it. Download soal limit tak hingga trigonometri (matematika peminatan kelas xii kurikulum 2013 revisi) download soal pertidaksamaan nilai mutlak satu variabel pdf. 7 full pdfs related to. Download latihan soal dan pembahasan logaritma sma kelas x. 1 click to fix iphone/ipad recovery mode, bootloop, dfu, black screen, etc. Tenorshare.net has been visited by 100k+ users in the past month Fungsi eksponen dan logaritma risa marliyana doc download free pdf free pdf download with google download with facebook or create a free account to download pdf. 20 soal pertidaksamaan nilai mutlak pilihan ganda matematika tulisan google drive contoh soal bentuk pangkat akar dan logaritma yang diberikan di sini merupakan kumpulan soal untuk tingkat level read more

This document was uploaded by user and they confirmed that they have the permission to share it. 7 full pdfs related to. Misalnya seperti, penjumlahan dengan pengurangan, perkalian dan pembagian, serta logaritma dengan eksponen dan masih banyak lagi yang lainnya. 1 click to fix iphone/ipad recovery mode, bootloop, dfu, black screen, etc. Fungsi eksponen dan logaritma risa marliyana doc download free pdf free pdf download with google download with facebook or create a free account to download pdf.

Contoh Soal Dan Pembahasan Persamaan Logaritma
Contoh Soal Dan Pembahasan Persamaan Logaritma from cdn.slidesharecdn.com
Misalnya seperti, penjumlahan dengan pengurangan, perkalian dan pembagian, serta logaritma dengan eksponen dan masih banyak lagi yang lainnya. Fungsi eksponen dan logaritma risa marliyana doc download free pdf free pdf download with google download with facebook or create a free account to download pdf. 12 contoh soal persamaan logaritma : Download soal fungsi logaritma doc. 20 soal pertidaksamaan nilai mutlak pilihan ganda matematika tulisan google drive contoh soal bentuk pangkat akar dan logaritma yang diberikan di sini merupakan kumpulan soal untuk tingkat level read more Download latihan soal dan pembahasan logaritma sma kelas x. If you are author or own the copyright of this book, please report to us by using this dmca report form. Pelajari ringkasan materi contoh soal eksponen kelas 10 logaritma beserta pembahasan jawaban lengkap dari soal un dan sbmptn.

Download soal fungsi logaritma doc.

This document was uploaded by user and they confirmed that they have the permission to share it. Apr 17, 2021 · logaritma adalah operasi hasil. 12 contoh soal persamaan logaritma : 7 full pdfs related to. Download soal limit tak hingga trigonometri (matematika peminatan kelas xii kurikulum 2013 revisi) download soal pertidaksamaan nilai mutlak satu variabel pdf. 20 soal pertidaksamaan nilai mutlak pilihan ganda matematika tulisan google drive contoh soal bentuk pangkat akar dan logaritma yang diberikan di sini merupakan kumpulan soal untuk tingkat level read more If you are author or own the copyright of this book, please report to us by using this dmca report form. Mar 22, 2021 · 12 contoh soal persamaan logaritma : Download soal asesmen kompetensi minimum (akm) sma #2. Pelajari ringkasan materi contoh soal eksponen kelas 10 logaritma beserta pembahasan jawaban lengkap dari soal un dan sbmptn. Download soal fungsi logaritma doc. Misalnya seperti, penjumlahan dengan pengurangan, perkalian dan pembagian, serta logaritma dengan eksponen dan masih banyak lagi yang lainnya. 1 click to fix iphone/ipad recovery mode, bootloop, dfu, black screen, etc.

Posting Komentar untuk "Download Soal Logaritma / Contoh Soal Logaritma - 7 full pdfs related to."